海关AEO高级认证企业 专注于海运出口报关及配套服务
在线下单

17521725883

心海资讯

9月1日起,中国-瑞士原产地证格式调整,商品项数增至50项

返回列表 来源: 发布日期: 2021.07.07
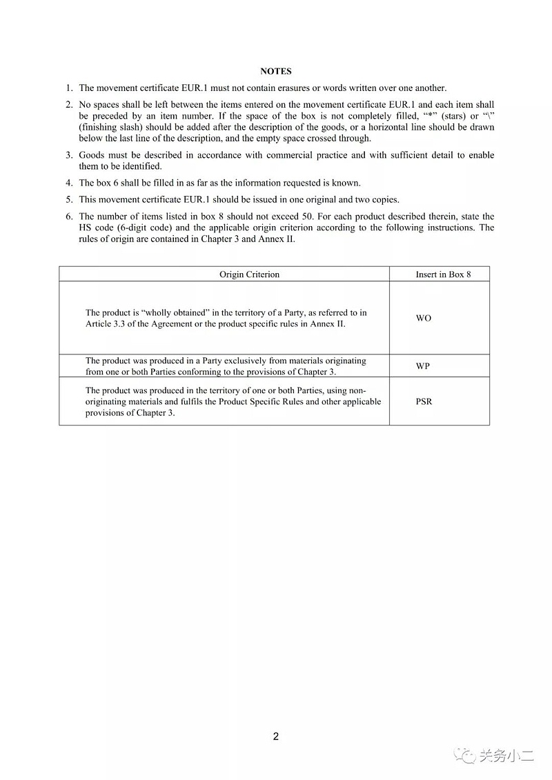
海关总署公告2021年第49号(关于调整中国—瑞士自贸协定项下原产地证书格式的公告)

根据《中华人民共和国和瑞士联邦自由贸易协定》有关规定和联合委员会决议,该协定项下进出口货物原产地证书商品项数上限从20项增加至50项,证书格式按照附件执行。


本公告自2021年9月1日起施行。


特此公告。



海关总署

2021年6月29日



原产地证1

原产地证2

原产地证3

原产地证4

原产地证5

原产地证8

原产地证7

原产地证6


        上海心海报关有限公司 是一家专注于提供海运出口报关及配套服务的出口报关企业,在上海各口岸业务现场均设有海运出口报关服务网点,可以为客户提供更便捷的海运出口报关 服务。海运出口报关服务热线  400-821-8393 
                                                                                                                本文来源于网络,如有侵权请联系删除

【相关推荐】

咨询热线

17521725883